(二)正常值范围估计《预防医学》

(二)正常值范围估计

计算正常值百分界值的方法甚多,如正态分布法、对数正态分布法、正态概率纸法、百分位数法、曲线拟合法、容许区间法等。现以95%正常值范围为例,主要介绍以下三种。

1.正态分布法:适用于正诚或近似正态分布资料。

双侧界值:x±1.96s

单侧上界:x+1.645s

单侧下界:x-1.645s

2.对数正态分布法:适用于对数正态分布资料。

双侧界值:lg-1(xlgx±1.96slgx)

单侧上界:lg-1(xlgx+1.645slgx)

单侧下界:lg-1(xlgx-1.645slgx)

3.百分位数法:常用于偏态分布资料。

双侧界值:P2.5和P97.5

单侧上界:P95

单侧下界:P5

例18.13 试估计表18-1中110名20岁健康男大学生身高的95%正常值范围。

该指标计算双侧界值

x±1.96s=172.73±1.96×4.09

该指标的95%正常值范围为 164.71~180.75(cm)

例18.14 某年某市调查了200例正常成人血铅含量(μg/100g)如下,试估计该市成人血铅含量95%正常值范围单侧上界。

34444455555555556666
66677777777777778888
88888889999999101010101010
1010101111111111121212121212121313131313
1313131313131314141414141414141414151515
1515151516161616161617171717171717171717
1717181818181819191919191920202020202020
2021212121212222222222222323232424242424
2425252626262626272728282929303031313131
3232323232323333363838394041414347505360

该资料为偏态分布,经对数变换(即原始数据取对数)后,整理成频数表,见表18-5。从频数分布看,近似正态分布,计算对数形式的均数与标准差,得:

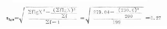
xlgx=Σflgx/Σf=230.0/200=1.15

其95%正常值范围的单侧上界为lg-1xlgx+1.645slgx)=lg-11。5942=39(μg/100g)

即该市正常成人血铅含量的95%正常值为39μg/100g以下。

例18.15 试用百分位数法估计例18.14资料的95%正常值的单侧上界。

该资料不经对数转换时为偏态分布,也可用百分位数法估计。先整理成频数表,见表18-6。

P95=L+i/f95(n×95%-ΣfL)=38+5/7(200×95%-189)=38.7(μg/100g)

表18-5 200名血铅值对数变换后的频数表及gx slgx计算表

对数组段频数f组中值(lgX)flgXFlgX2
0.45~10.50.50.25
0.55~50.63.01.80
0.65~100.77.04.90
0.75~200.816.012.80
0.85~110.99.98.91
0.95~211.021.021.00
1.05~291.131.935.09
1.15~251.230.036.00
1.25~301.339.050.07
1.35~201.428.039.20
1.45~161.524.036.00
1.55~81.612.820.48
1.65~31.75.18.67
1.75~1.8411.81.83.24
合计200 230.00279.04

表18-6 200名血铅值频数表及P95计算表

组段频数f累计频数Σf累计频率(%)
3~363618.0
8~397537.5
13~4712261.0
18~3015276.0
23~1817085.0
28~1618693.0
33~318994.5
38~719698.0
43~119798.5
48~119899.0
53~119999.5
58~621200100.0

上一页:(一)正常值范围(normal range)的意义
当前页:(二)正常值范围估计
下一页:附表18-1 标准正态分布曲线下的面积

返回目录