四、行×列表的卡方检验(x[SB]2[/SB]testfor R×C table)《预防医学》

四、行×列表的卡方检验(x[SB]2[/SB]testfor R×C table)

适用于两个组以上的率或百分比差别的显着性检验。其检验步骤与上述相同,简单计算公式如下:

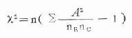
公式(20.17)

式中n为总例数;A为各观察值;nR和nC为与各A值相应的行和列合计的总数。

例20.9北方冬季日照短而南移,居宅设计如何适应以获得最大日照量,增强居民体质,减少小儿佝偻病,实属重要。胡氏等1986年在北京进行住宅建筑日照卫生标准的研究,对214幢楼房居民的婴幼儿712人体检,检出轻度佝偻病333例,比较了居室朝向与患病的关系。现将该资料归纳如表20-15作行×列检验。

表20-15居室朝向与室内婴幼儿佝偻病患病率比较

检查结果居室朝向合计
西、西南东、东南北、东北、西北
患病1801412065379
无病200168433333
合计3803020498712
患病率(%)47.446.758.866.353.2

该表资料由2行4列组成,称2×4表,可用公式(20.17)检验。

(一)检验步骤

1.检验假设

H0:四类朝向居民婴幼儿佝偻病患病率相同。

H1:四类朝向居民婴幼儿佝偻病患率不同。

α=0.05

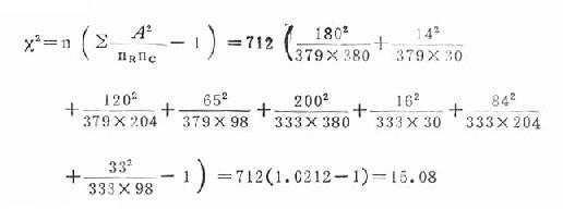
2.计算x2

3.确定P值和分析

本题v=(2-1)(4-3)=3,据此查附表20-1:

x20.01(3)=11.34,本题x2=15.08,x2>x20.01(3),P<0.01,按α=0.05水准,拒绝H0,可以认为居室朝向不同的居民,婴幼儿佝偻病患病率有差异。

(二)行×列表x2检验注意事项

1.一般认为行×列表中不宜有1/5以上格子的理论数小于5,或有小于1的理论数。当理论数太小可采取下列方法处理:①增加样本含量以增大理论数;②删去上述理论数太小的行和列;③将太小理论数所在行或列与性质相近的邻行邻列中的实际数合并,使重新计算的理论数增大。由于后两法可能会损失信息,损害样本的随机性,不同的合并方式有可能影响推断结论,故不宜作常规方法。另外,不能把不同性质的实际数合并,如研究血型时,不能把不同的血型资料合并。

2.如检验结果拒绝检验假设,只能认为各总体率或总体构成比之间总的来说有差别,但不能说明它们彼此之间都有差别,或某两者间有差别。

上一页:三、四格表x[SB]2[/SB]值的校正
当前页:四、行×列表的卡方检验(x[SB]2[/SB]testfor R×C table)
下一页:五、配对计数资料x[SB]2[/SB]检验(x[SB]2[/SB]testof paired comparison of enumeration data)

返回目录