4.一些重要函数的极限
| 函数与图形 | 极限与特征 | 
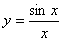
|   | 曲线关于y轴对称  极限 
  [注] | 
| 
 
 | 曲线关于y轴对称  极限    | 
| 
 
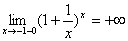
 | 渐近线 y=e和x=-1  极 限 
                [注]  | 
| 
 
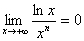
 | 极小点   极 限 
           [注]  | 
| 
 
 |  极大点 A(e, 
            拐 点 
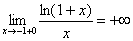
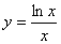
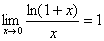
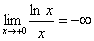
          B( 渐近线 y=0和x=0  极 限 
             [注]  | 
| 
 
  
         
           
 | 渐近线 y=0和x=-1  极 限 
               | 
| 
  
         
           
 | 与y轴交点O(0,0),该点切线斜率为1  极大点 A(1,  拐 点 
          B(2, 渐近线 y=0  极 限 
              [注]    | 
| 
 
 | 曲线由两支组成 不连续点 x=0 渐近线 y=x+1  极 限     | 
| 
 
 | 不连续点 x=0 渐近线 y=1和x=0  极 限 
               |